半乳甘露聚糖(SUNFIBER)產品介紹
1.關于SUNFIBER
SUNFIBER是日本太陽化學株式會社(以下簡稱為:太陽化學)的注冊商標,日本太陽化學株式會社1988年首次發明了水溶性膳食纖維SUNFIBER,并實現了量產化。2004年太陽化學在瓜爾豆原產地之一印度孟買投資建立了SUNFIBER生產基地,確保了SUNFIBER產品的穩定供應。36年來SUNFIBER實現了在日本以及全球范圍的銷售業績。
SUNFIBER是一種水溶性膳食纖維,是由來自印度產瓜爾豆胚乳經過酶解而得到,因此也稱為瓜兒膠酶解物或瓜兒膠水解物,主要成分為半乳甘露聚糖。
2.SUNFIBER的原料
SUNFIBER的原料是瓜兒膠,瓜兒膠的原料是瓜爾豆。
瓜爾豆,原產于印巴次大陸西部沙漠邊緣地區,是豆科瓜爾豆屬的一種一年生直立草本熱帶植物,。瓜爾豆自古以來在印巴地區就被人們作為蔬菜食用,瓜爾豆的嫩尖可作為葉菜食用,瓜爾豆嫩豆莢和青豆都是印度、巴基斯坦人日常必不可少的美味蔬菜,被用來制作咖喱和炒菜等。瓜爾豆在我國海南省等地也引種成功,不久的將來瓜爾豆也會上了中國人的餐桌。(《海南常年種植蔬菜“菜單”更新 瓜爾豆將走向市場》2023年06月21日,南海網)
瓜爾膠,是將瓜爾豆去除最外層的種皮、最里層的胚和子葉后,由中間層的胚乳加工制作而成。瓜爾膠為大分子天然親水膠體,是一種天然食品添加劑,具有增稠和穩定的作用。它作為可以增加粘稠度的多糖,往往被使用于冰淇淋等食品中。 瓜爾膠也作為膳食纖維被利用。
3.SUNFIBER的制造方法及化學構造
瓜爾膠經過酶解后得到SUNFIBER,也被稱為瓜爾膠酶解物、或瓜爾膠水解物,英文全稱為:Partially Hydrolyzed Guar Gum(部分水解瓜爾膠),簡稱:PHGG。化學成分為半乳甘露聚糖,商品名:SUNFIBER。SUNFIBER制造方法見如下圖1。圖2為SUNFIBER(半乳甘露聚糖,PHGG)生產工藝示意圖。


瓜爾豆→粉碎、提取胚乳部分→瓜爾膠(1%水溶液)→酶解處理→瓜爾膠酶解物(PHGG)
圖2 SUNFIBER(半乳甘露聚糖,PHGG)生產工藝示意圖
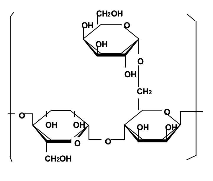
SUNFIBER(半乳甘露聚糖,PHGG)是由2分子D-甘露糖的直鏈結合,側鏈為1分子半乳糖組成的半乳甘露聚糖高分子多糖類(見圖3),平均分子量為20kDa。

Mannose : Galactose = 2 :1
圖3 SUNFIBER(半乳甘露聚糖)的分子結構
瓜爾膠的化學成分也是半乳甘露聚糖,與SUNFIBER是同樣的分子構造,但它的平均分子量為200kDa,瓜爾膠溶解于水后,具有非常高的粘度,不便于使用,用酶處理后得到了分子量較小的半乳甘露聚糖,它保留著原有的分子結構,在水中的溶解性得到極大改善。見圖4 SUNFIBER與瓜爾膠在水中溶解時粘度的比較。

4.SUNFIBER(半乳甘露聚糖,PHGG)在全球各國的批準情況
1)在中國,SUNFIBER(半乳甘露聚糖,PHGG)由太陽化學申請,2000年3月原衛生部批準為食品添加劑,食品添加劑名稱:半乳甘露聚糖(Galactomannan)(GB2760-2024,CNS號 00.014,表A.1),功能類別:其他,使用范圍:各類食品(表 A.2中編號為1-68的食品類別除外),最大使用量:按生產需要量使用。
2019年衛健委批準SUNFIBER(半乳甘露聚糖,PHGG)為營養強化劑(2019年第2號公告),營養強化劑名稱:半乳甘露聚糖,使用范圍:特殊醫學用途配方食品(13.01中涉及品種除外)(食品類別13.03) ,提供膳食纖維。最大使用量:120g/kg。
2018年6月衛健委和國家市場監督管理總局發布了半乳甘露聚糖質量標準,《GB1886.301-2018 食品安全國家標準 食品添加劑 半乳甘露聚糖》。
2)在日本,半乳甘露聚糖(PHGG)允許其作為食品原料使用。允許標識的名稱為:膳食纖維、半乳甘露聚糖、半乳甘露聚糖酶解物、半乳甘露聚糖分解物、瓜爾膠酶解物、瓜爾膠分解物等。
同時,日本消費者廳(CAA)批準半乳甘露聚糖(瓜爾膠酶解物)為特定保健食品用原料。(1)規定標識的保健用途:可以調節腸胃;(2)每日標準攝入量:5g-12g;(3)注意事項:因體質、身體狀況的不同,大量攝取并不能治愈疾病、增進健康。
3)在美國,2006年由太陽化學向美國FDA(食品藥品監督管理局)申請半乳甘露聚糖(PHGG)取得一般公認安全認證(GRAS認證),允許其作為食品原料使用。
4)在加拿大,半乳甘露聚糖(PHGG)允許其作為食品原料使用。
5)在歐洲,半乳甘露聚糖(PHGG)允許其作為食品原料使用。
歐洲食品安全局(EFSA)2011年批準了半乳甘露聚糖(PHGG)的相關健康聲稱,包括,(1)減少潛在的致病性胃腸微生物;(2)調節短鏈脂肪酸的產生和調節胃腸道pH值的變化;(3)調節腸功能;(4)減少腸胃不適。
6)在韓國,半乳甘露聚糖(PHGG)允許其作為食品原料使用。
2009年2月韓國KFDA(食品藥品安全廳)半乳甘露聚糖(PHGG)作為功能性原料被認定為新的“有助于腸道內有益菌的增值”。
5.SUNFIBER(半乳甘露聚糖,PHGG)的特性
1)SUNFIBER的膳食纖維含量高,依據《GB5009.88-2023食品安全國家標準 食品中膳食纖維的測定》檢測,SunFiber的膳食纖維含量高達80%,是優良的膳食纖維供給原料。
2)在水中溶解性和粘度:作為水溶性膳食纖維SunFiber易溶解,水溶液粘度低。水溶液無味、無臭、透明、低粘度。添加一定量的SunFiber對食品飲料的物性、風味和口感幾乎沒有影響,是一種優質的膳食纖維原料。但在水中分散時易形成生粉現象,與其他糖混合后再添加可以避免。
3)甜度與甜味:SunFiber幾乎無甜味,對使用其產品風味不造成影響。
穩定性:耐熱、耐酸、耐堿、耐鹽。由于SunFiber是由半乳糖和甘露糖組成的中性多糖類,具有耐熱、耐酸、耐堿、耐鹽特性,在pH3.5-8條件下比較穩定。在含乳蛋白質的食品中可直接使用,在飲料和發酵乳中使用時膳食纖維含
1)量幾乎沒有變化。但是pH3.0以下的酸性條件下高溫、長時間加熱會引起少量水解。
2)吸濕性:SunFiber具有一定的吸濕性,保存時要注意密封。
3)美拉德反應:幾乎不發生美拉德反應引起的褐變。
4)低熱量2kcal/g。
5)形成被膜:SunFiber容易形成被膜。a)有光澤效果;b)提高保型性:c)抑制淀粉的硬化。
6.SunFiber的安全性
1)致突變試驗:SunFiber對細菌的抗突變試驗,基因突變試驗均未見變化
2)急性毒性試驗:SunFiber大白鼠經口投與急性毒性試驗結果LD50=6.0g/kg體重以上。
3)28天喂養試驗:SunFiber大白鼠經口投與28日慢性毒性試驗,無毒性劑量2.5g/kg體重以上。慢性毒性試驗,對象群的雌雄性均未發現死亡,也未發現一般狀態的變化。試驗群體重、攝食量與對照群比較幾乎相同,所有的測定時間內與對照群間均無顯著差異。
4)90天喂養試驗:Sunfiber大白鼠經口投與90天亞慢性毒性研究(由著名的荷蘭TNO營養與食品研究所實施)。無毒性劑量,雄性5.0g/kg體重/日以上,雌性5.7g/kg體重/日以上。實驗未發現任何與治療相關的變化,飲食水平高達10%的Sunfiber的耐受性沒有任何毒性的跡象。得出的結論是SunFiber是安全性很高的膳食纖維原料。
5)人的臨床試驗結果*:過量攝食后未發生有害現象。男性8名,攝食量36g/日,攝食時間:4周。
(* Takahashi H, et al. Nutr Res. 13, 649-657 (1993))
另外,SunFiber2006年通過了美國一般公認安全認證(GRAS認證)。
7.SUNFIBER(半乳甘露聚糖,PHGG)取得了澳洲莫納什大學的低發慢(FODMAPs)認證
SUNFIBER(半乳甘露聚糖,PHGG)是低發慢(FODMAPs)食品原料。FODMAPs飲食主要是針對患有腸易激綜合征癥(IBS)的消費者,IBS是一種慢性腸道功能紊亂性疾病,患者會出現腹痛,伴隨著便秘或者腹瀉。由于IBS的表現型比較多,就導致很難查出來精準的病因。據統計,世界上有七分之一的成年人患有腸易激綜合征,然而被診斷出來的腸易激綜合征只是冰山一角,大部分人都有而不自知。
低FODMAP飲食是由澳洲莫納什大學提出的。莫納什大學的研究團隊證實了,避免高FODMAPs食品,采用低FODMAPs飲食的方案,對腸易激綜合征(IBS)非常有效,76%的患者得到改善。
SUNFIBER(半乳甘露聚糖,PHGG)是第一個獲得莫納什大學頒發的低發漫認證的膳食纖維。
SUNFIBER(半乳甘露聚糖,PHGG)是一款低FODMAP食品原料,是具有可發酵的、長鏈的、分子量大的水溶性膳食纖維。作為一款高耐受性,舒適性的水溶性膳食纖維,適合各類人群,尤其適合IBS等腸道敏感人群。
SUNFIBER(半乳甘露聚糖,PHGG)作為一款可以發酵的膳食纖維,高分子量延長了它在腸道內的酵解時間,使得它在達到腸道末端的時候才能被酵解完全,不僅最大限度的幫助益生菌發酵,還可以預防直腸癌。
另外可發酵的底物又避免了益生菌發酵產氣過多和產氣過快導致腹脹的干擾。半乳甘露聚糖在益生元領域也有自己獨特的特點,具有很高的應用價值。
9.SUNFIBER(半乳甘露聚糖,PHGG)獲得了歐洲腸外腸內營養學會(ESPEN)A級纖維推薦
SUNFIBER(半乳甘露聚糖,PHGG)獲得了歐洲腸外腸內營養學會(ESPEN)對術后及危重患者(ICU)預防腸內營養引發的腹瀉的A類纖維推薦。
(A類推薦是該協會對膳食纖維的最高級推薦,獲得此推薦的膳食纖維必須擁有I級水平的依據,即通過隨機性試驗或精確的數據整合分析得到的依據,具有充分的依據)。
10.補充膳食纖維迫在眉睫
我國居民膳食纖維攝入量三十年來呈下降趨勢。平均每天人均膳食纖維攝入量從1992年的13.4g下降為2015年的10.4g。隨著我國居民膳食結構的改變,動物性食物的消費量增加,豆類和根莖類食物消費量的下降,導致了我國居民的膳食纖維攝入量下降(注1)。
為了保證居民健康,降低慢性病的發生風險,按照我國居民膳食纖維攝入的推算結果和國際組織的相關標準,中國營養學會建議我國成年人膳食纖維攝入量為25g-30g/天,相對于能量為8g/1000kcal。
探討如何有效利用膳食纖維素材,提高補充效果對我國居民來說迫在眉睫。
特別申明:所有產品相關技術資料僅供業內人士學習交流,如需用于廣告宣傳用途,請遵循相關法律法規!